Page 33 - 07 seguranca

Basic HTML Version

33
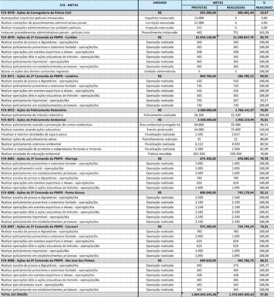
Sobre a tabela anterior, é possível afirmar que apenas poucas previsões de
metas não foram cumpridas (Elaborar relatório de antecedentes criminais– 39%;
Realizar análise de identificação criminal– 49%). A maioria, porém, foram realiza-
das, e, algumas, tiveram resultados bem acima do previsto (Realizar operações
policiais diversas – 2177%; Realizar cursos de aperfeiçoamento para as carreiras da
Polícia Civil – 592%; Realizar cursos de atualização em uso legal de arma de fogo
para policiais civis no Interior – 568%).