Page 179 - relatorio

Basic HTML Version

179
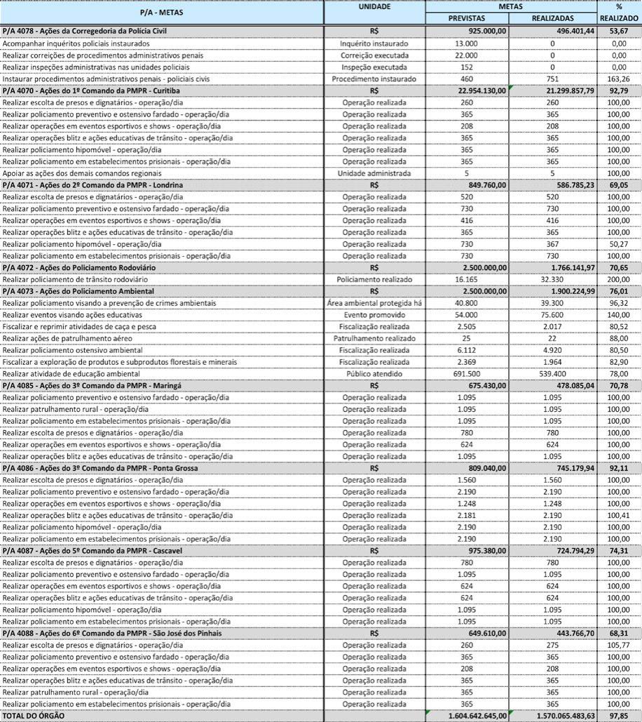
Sobre a tabela anterior, pode-se salientar que poucas metas não foram cum-
pridas (Elaborar relatório de antecedentes criminais– 39%; Realizar análise de identifi-
cação criminal– 49%). A maioria, porém, foi realizada, e, algumas, tiveram resultados
bem acima do previsto (Realizar operações policiais diversas – 2177%; Realizar cursos
de aperfeiçoamento para as carreiras da Polícia Civil – 592%; Realizar cursos de atuali-
zação em uso legal de arma de fogo para policiais civis no Interior – 568%).